Courses

Introduction to programming using Python

Session 2

Matthieu Choplin

matthieu.choplin@city.ac.uk

http://moodle.city.ac.uk/

Objectives

  • Review what we have seen in the previous session:
    • Variables
    • Data types
    • Functions
  • Controlling the flow of our programs

Variables 1: dynamic typing

  • Python has strong dynamic typing
    • No need to declare the type of the variable
    • Python recognises the type according to the value of the variable
    
    my_variable = 100
    print(type(my_variable))  # will print <class 'int'>
    my_variable="100"  # notice the quote for a string data type
    print(type(my_variable))  # will print <class 'str'>
    						

Variables 2: case sensitive

  • Python is case sensitive
  • 
    My_variable = 100
    print(id(my_variable))
    Traceback (most recent call last):
      File "<stdin>", line 1, in <module>
    NameError: name 'my_variable' is not defined
    						

Variables 3: where it is stored

  • A variable has an address in memory

Variables 4: scope

  • A variable has a scope: only accessible from where it is defined.
  • A variable is wiped out from memory once it stops being used. We say that is it garbage collected

We define variable_a in program_a.py

#program_a.py
variable_a = 42

We try to use variable_a in program_b.py. What is wrong?

#program_b.py
print(variable_a)

Variables 5: naming rules

  • A variable name is a non-empty sequence of characters of any length with:
    • The start character can be the underscore "_" or a capital or lower case letter.
    • Python keywords are not allowed as identifier names!

Keywords (to not use as variable name)

and as assert break class continue def
del elif else except exec finally for
from global if import in is lambda
not or pass print raise return try
while with yield

Exercise 1: From algorithm to Python code

  • Translate the following algorithm into Python code:
    • Step 1: Use a variable named miles with initial value 100 .
    • Step 2: Multiply miles by 1.609 and assign it to a variable named kilometers
    • Step 3: Display the value of kilometers with the function print()

Show solution

Hide solution

miles = 100
kilometers = miles * 1.609
print(kilometers)

Exercise 2.1: Area of a squared room

  • The length and width are hardcoded variables for now.
  • Use variables (for length, width and area)
  • The multiply operator in Python is the sign*
  • Formulae of the area of a square: length * width
  • Use the print() function to display the result

Show solution

Hide solution

length = 3
width = 4
area = length * width  # we are using variables defined above
print("The area of the squared room of length", \
	length, "and width", width, "is", area)

Exercise 2.2: Dynamic Area

  • The length and width are dynamic variables now.
  • Use the input() function for taking the values from the user.
  • Convert the input received into a number with the function float()

Show solution

Hide solution

length = float(input("What is the length of the room? "))
width = float(input("What is the width of the room? "))
area = length * width  # using variables defined above
print("The area of the squared room of length", \
	length, "and width", width, "is", area)

Common Data Types: definition

  • Numeric types:
    • Integer: whole number
    • type(1)  # <class 'int'>
    • Float: number with decimal
    • type(1.0)  # <class 'float'>
  • String
  • type("1.0")  # <class 'str'>

Common Data Types: Examples

Data type Examples
Integers -2, -1, 0, 1, 2, 3, 4, 5
Floats -1.25, -1.0, --0.5, 0.0, 0.5, 1.0, 1.25
Strings 'a', 'aa', 'aaa', 'Hello!', '11 cats'

Numeric Operators

Name Meaning Example Result
+ Addition 34 + 1 35
- Substraction 34.0 - 0.1 33.9
* Multiplication 300 * 30 9000
/ Float division 1 / 2 0.5
// Integer Division 1 // 2 0
** Exponentiation 4 ** 0.5 2.0
% Remainder 20 % 3 2

The % (modulo or remainder) operator (1/2)

The % (modulo or remainder) operator (2/2)

Remainder or Modulo is very useful in programming. For example, an even number % 2 is always 0 and an odd number % 2 is always 1. So you can use this property to determine whether a number is even or odd.

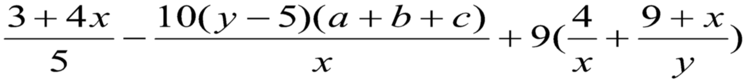
Arithmetic expressions

...is translated to:

(3 + 4 * x) / 5 – 10 * (y - 5) * (a + b + c) / x +\
    9 * (4 / x + (9 + x) / y)

NB: the sign \ is an "escaped" character, to break a line for readability

Exercise: Computing Loan Payments

Let the user enter the yearly interest rate, number of years, and loan amount, and computes monthly payment and total payment.

  • Use input()
  • Translate the following arithmetic expression in Python:

Solution: Computing Loan Payments

Show solution

Hide solution

# Enter yearly interest rate
annualInterestRate = float(input(
  "Enter annual interest rate, e.g., 8.25: "))
monthlyInterestRate = annualInterestRate / 1200
# Enter number of years
numberOfYears = float(input(
  "Enter number of years as an integer, e.g., 5: "))
# Enter loan amount
loanAmount = float(input("Enter loan amount, e.g., 120000.95: "))
# Calculate payment
monthlyPayment = loanAmount * monthlyInterestRate / (1
  - 1 / (1 + monthlyInterestRate) ** (numberOfYears * 12))
totalPayment = monthlyPayment * numberOfYears * 12

# Display results
print("The monthly payment is " +
  str(int(monthlyPayment * 100) / 100))
print("The total payment is " + str(int(totalPayment * 100) /100))

Operations on the String Type (1/2)

Concatenation

The expression concatenating a string returns a new string:

first_string = "abra"
second_string = "cada"
third_string = "bra"
concatenated_string = first_string + second_string \
    + third_string
print("first_string is", first_string,
    "second_string is", second_string,
    "third_string is ", third_string,
    "concatenated_string is ", concatenated_string)

Operations on the String Type (2/2)

Slicing

Remember that the string is a sequence of characters

The items of a sequence can be accessed through indexes

Items (characters) a b r a c a d a b r a
Indexes 0 1 2 3 4 5 6 7 8 9 10

Get the first element of the sequence:

my_string_variable = "abracadabra"
first_elem = my_string_variable[0]

Built in functions seen so far

Input/Ouput Conversion type: Introspection:
input() int() type()
print() float() dir()
str() help()
id()

All the built in functions: https://docs.python.org/3.5/library/functions.html

Defining our own function

To define a function, we use the keyword def, the name of the function, the brackets, and the colon

Then the body of the function needs to be indented

def name_of_the_function():
    # body of the function

When we define a function, we just make python see that the function exist but it is not executed

Calling our own function

To call or execute or run a function, we use the name of the function AND the brackets, without the brackets, the function is not called.

name_of_the_function()

Notice the difference between defining and calling a function

Controlling the flow of our programs

We can represent the flow of execution with a flow chart

Structure of a simple if statement

Pseudo code:

if condition:
    # statement (mind the indentation)

Example, representation of the flow chart example in python code:

if name=='Alice':
    print('Hi Alice')

The two-way if statement

Pseudo code:

if condition:
    # statement (mind the indentation)
else:
    # statement executed when the condition is False
                    

Example, representation of the flow chart example in python code with an else statement:

if name=='Alice':
    print('Hi Alice')
else:
    print('Hi')

Multiple Alternative if Statements

The naive way

if condition:
    # statement (mind the indentation)
else:
    if condition:
        # statement executed when
        # the previous condition is False
    else:
        # statement executed when none of
        # the previous condition is verified
                    

Multiple Alternative if Statements

The better way, the pythonc way

if condition:
    # statement (mind the indentation)
elif condition:
    # statement executed when
    # the previous condition is False
elif condition:
    # statement executed when none of
    # the previous condition is verified
else:
    # executed when all conditions are False

Value of the condition

The program will execute the statement only if the condition is verified. Only if the condition is True.

The condition is actually a boolean.

The Boolean Type

  • It has only 2 possible values: True or False. Notice that they are both capitalized, which is important because Python is case sensitive
  • It is often obtained as a result of a comparison expression.

The Comparison Operators

Operator Meaning
< less than
<= less than or equal
> greater than
>= greater than or equal
== equal to
!= not equal to

Examples

Difference between '==' and '='

  • The sign = is the sign of assignment, it is used for assigning a value to a variable
  • The sign == is the sign of comparison, it compares 2 values and return a boolean (True or False)

Exercise: password

Create a program that ask the user for a password.

  • Have the password defined in "clear" in your program, in a variable called "PASSWORD"
  • Use input() to receive the password entered by the user
  • If the word entered by the user matches the password, display "Access Granted", else, "Forbidden"

Solution: password

Show solution

Hide solution

PASSWORD = 'super_password123'
password_entered = input("Enter the password: ")
if password_entered == PASSWORD:
    print("Access Granted")
else:
    print("Forbidden")
                    

Truth tables

Show every possible result of a Boolean operator.

The and Operator’s Truth Table

Expression Evaluates to...
True and True True
True and False False
False and True False
False and False False

The or Operator’s Truth Table

Expression Evaluates to...
True or True True
True or False True
False or True True
False or False False

The not Operator

It operates on only one Boolean value (or expression). The not operator simply evaluates to the opposite Boolean value.

Exercise: password and login

Create a program that ask the user for a login and password.

  • Have the password "PASSWORD" AND login "LOGIN" defined in "clear" in your program, in variables
  • Use input() to receive the password and login entered by the user
  • If login and password match the values of your PASSWORD and LOGIN, display "Access Granted", else, "Forbidden"

Solution: password and login

Show solution

Hide solution

PASSWORD = 'super_password123'
LOGIN = 'superadmin'
login_entered = input("Enter the login: ")
password_entered = input("Enter the password: ")
if password_entered == PASSWORD \
    and login_entered == LOGIN:
    print("Access Granted")
else:
    print("Forbidden")
                    

Exercise: check number divisor

Write a program that prompts the user to enter an integer. If the number is a multiple of 5, print HiFive. If the number is divisible by 2, print HiEven.

  • Use input() take the user input
  • Use int() to convert the value return by input into an integer
  • Use % to see if a number x is divisible by an other number y, if x%y returns 0, then x is divisible by y
  • Use print()

Solution: control flow

Show solution

Hide solution

number_x = int(input("Enter an integer: "))
if number_x % 5 == 0:
    print("HiFive")
if number_x % 2 == 0:
    print("HiEven")
                    

Exercise: grading students

Write a program that is going to give the grade of a student according to the score obtained.

  • Display 'A' if the score is greater than 90
  • Display 'B' if the score is between 80 and 90
  • Display 'C' if the score is between 70 and 80
  • Display 'D' if the score is between 60 and 70
  • Display 'F' if the score is lower than 60

Solution: grading students

Show solution

Hide solution

score = int(input("Enter the score: "))
if score >= 90.0:
    grade = 'A'
elif score >= 80.0:
    grade = 'B'
elif score >= 70.0:
    grade = 'C'
elif score >= 60.0:
    grade = 'D'
else:
    grade = 'F'
print('The grade is ', grade)

Exercise: determining a leap year

This program first prompts the user to enter a year as an int value and checks if it is a leap year.

A year is a leap year if it is divisible by 4 but not by 100, or it is divisible by 400.

  • Use input() to take the user input (the year, i.e. 2016) and convert it with int()
  • Use % to see if a number x is divisible by an other number y, if x%y returns 0, then x is divisible by y
  • Check if the year is divisible by 4 AND not divisible by 100
  • OR check if the year is divisible by 400.
  • Use print()

Solution: determining a leap year

Complete solution

Hide solution


year = input("Enter a year : ")
year = int(year)
leap_year = False # boolean value saying if
                  # the year is a leap_year or not
if year % 400 == 0:
    leap_year = True
elif year % 4 == 0:
	if year % 100 != 0:
    	leap_year = True
else:
    leap_year = False
if leap_year:
    print("The year entered is a leap year.")
else:
    print("The year entered is not a leap year.")

Solution optimized: determining a leap year

Condition to use

Hide hint

(year % 4 == 0 and year % 100 != 0) or (year % 400 == 0)

Complete solution

Hide solution

year = int(input("Enter a year: "))
if (year % 4 == 0 and year % 100 != 0) or (year % 400 == 0):
    print("The year is a leap year")
else:
    print("The year is not a leap year")

Exercise: Chinese Zodiac sign

Now let us write a program to find out the Chinese Zodiac sign for a given year. The Chinese Zodiac sign is based on a 12-year cycle, each year being represented by an animal: rat, ox, tiger, rabbit, dragon, snake, horse, sheep, monkey, rooster, dog, and pig, in this cycle

Hint 1

Hide hint 1

Use the modulo (%).

Hint 2

Hide hint 2

2016 is the year of the monkey and 2016 % 12 equals 0

Exercise: Chinese Zodiac sign

Year Zodiac sign
0 monkey
1 rooster
2 dog
3 pig
4 rat
5 ox
6 tiger
7 rabbit
8 dragon
9 snake
10 horse
11 sheep

Complete solution

Hide solution

year = eval(input("Enter a year: "))
zodiacYear = year % 12
if zodiacYear == 0:
    print("monkey")
elif zodiacYear == 1:
    print("rooster")
elif zodiacYear == 2:
    print("dog")
elif zodiacYear == 3:
    print("pig")
elif zodiacYear == 4:
    print("rat")
elif zodiacYear == 5:
    print("ox")
elif zodiacYear == 6:
    print("tiger")
elif zodiacYear == 7:
    print("rabbit")
elif zodiacYear == 8:
    print("dragon")
elif zodiacYear == 9:
    print("snake")
elif zodiacYear == 10:
    print("horse")
else:
    print("sheep")